LLMpediaThe first transparent, open encyclopedia generated by LLMs

Actuarial science

Generated by GPT-5-mini
Note: This article was automatically generated by a large language model (LLM) from purely parametric knowledge (no retrieval). It may contain inaccuracies or hallucinations. This encyclopedia is part of a research project currently under review.
Article Genealogy
Parent: Leonard Savage Hop 5
Expansion Funnel Raw 111 → Dedup 0 → NER 0 → Enqueued 0
1. Extracted111
2. After dedup0 (None)
3. After NER0 ()
4. Enqueued0 ()
Actuarial science
Actuarial science
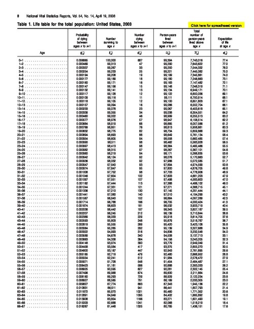
Elizabeth Arias, Ph.D., Division of Vital Statistics, Natonal Center for Health · Public domain · source
NameActuarial science
FieldInsurance; Mathematics; Statistics
RelatedFinance; Econometrics; Risk management

Actuarial science is a field that applies principles from Mathematics, Statistics, Probability theory, and Finance to assess, quantify, and manage contingent future events, particularly in Insurance and Pensions. Practitioners work within institutions such as Prudential plc, Allianz, Aetna, MetLife, and AXA and are certified by bodies including the Society of Actuaries, Casualty Actuarial Society, Institute and Faculty of Actuaries, Institut des Actuaires, and Canadian Institute of Actuaries. The discipline interfaces with regulatory frameworks like the Solvency II directive and standards set by organizations such as the International Accounting Standards Board and the International Association of Insurance Supervisors.

History

Early precursors emerged in the 17th and 18th centuries with contributions from John Graunt, Edmond Halley, Abraham de Moivre, Daniel Bernoulli, and Blaise Pascal whose work on probability informed mortality studies used by institutions like the Amicable Society and the Equitable Life Assurance Society. The 19th century saw formalization through figures such as Francis Galton, Benjamin Gompertz, and William Farr who advanced mortality tables used by the National Insurance Act 1911 era insurers. Twentieth-century development involved integration of stochastic methods from Kolmogorov, Andrey Markov, and Norbert Wiener and the rise of corporate actuarial departments at firms like Prudential Financial and Sun Life Financial. Regulatory and methodological developments in the late 20th and early 21st centuries were shaped by events involving Long-Term Capital Management, the 2008 financial crisis, and reforms including Basel II and Solvency II.

Core principles and methods

Core methods draw on Probability theory and Statistics for survival models, loss distributions, credibility theory, and generalized linear models used in tariffing by carriers such as Progressive Corporation and Geico. Time value concepts from Irving Fisher and Frank Ramsey underpin discounting and reserve calculations aligned with standards by the International Accounting Standards Board and actuarial literature from Harry Markowitz-inspired portfolio theory. Stochastic processes from Paul Lévy and Andrey Kolmogorov inform ruin theory and reserve risk models employed by organizations including Munich Re and Swiss Re. Computational techniques incorporate Monte Carlo methods popularized by work at Los Alamos National Laboratory and algorithmic improvements from researchers at Bell Labs, IBM, and Google.

Professional practice and certification

Actuarial credentials are awarded by professional bodies such as the Society of Actuaries, Casualty Actuarial Society, Institute and Faculty of Actuaries, Institut des Actuaires, Canadian Institute of Actuaries, and the Actuarial Society of South Africa. Exams and continuing professional development follow syllabi referencing texts by Frank Redington, James Hickman, and committees within the International Actuarial Association. Regulatory recognition ties to national authorities like the Financial Conduct Authority, European Insurance and Occupational Pensions Authority, Office of the Superintendent of Financial Institutions (Canada), and National Association of Insurance Commissioners. Professional practice includes ethical codes inspired by bodies such as the American Academy of Actuaries and disciplinary frameworks influenced by landmark legal cases involving firms like AIG and Lloyd's of London.

Applications and industries

Applications span life insurance with companies like MetLife and Aviva, property and casualty insurance at Allstate and Zurich Insurance Group, employee benefits at TIAA-CREF and Manulife, and investment management at BlackRock and Vanguard. Actuaries support public policy programs such as Social Security (United States), national National Health Service (England) actuarial valuations, and municipal pension plans administered by entities like the California Public Employees' Retirement System. Emerging areas include climate risk analysis engaging Intergovernmental Panel on Climate Change scenarios, cyber risk modeling for firms like Cisco Systems and Palo Alto Networks, and fintech collaborations with Stripe and Square.

Risk management and modeling

Risk frameworks employ tools from Value at Risk literature, scenario analysis influenced by John Hull, and enterprise risk management standards such as ISO 31000 and guidance from the Committee of Sponsoring Organizations of the Treadway Commission. Catastrophe modeling uses inputs from agencies like the National Oceanic and Atmospheric Administration, United States Geological Survey, and catastrophe model vendors tied to reinsurers Munich Re and Swiss Re. Asset-liability management integrates models from Fisher Black and Myron Scholes option pricing theory and macroeconomic factors tracked by institutions such as the International Monetary Fund and Bank for International Settlements.

Education and research

Academic programs are offered at universities including University of Waterloo, University of Cambridge, University of Oxford, Cass Business School, Columbia University, University of Pennsylvania, University of Chicago, Harvard University, and London School of Economics. Research intersects with departments and centers like the Statistical Laboratory, Cambridge, Cowles Foundation, Alan Turing Institute, and work published in journals such as the Journal of Risk and Insurance, ASTIN Bulletin, and North American Actuarial Journal. Cross-disciplinary collaborations involve researchers affiliated with National Bureau of Economic Research, RAND Corporation, and the World Bank on topics spanning longevity risk, stochastic mortality (building on Lee-Carter model innovations), and predictive analytics leveraging developments from Andrew Ng and teams at DeepMind.

Category:Actuarial science